
| Install | <100 |
| From 0 Rates | 0 |
| Category | Education |
| Size | 22 MB |
| Last Update | 2025 September 2 |

| Install | <100 |
| From 0 Rates | 0 |
| Category | Education |
| Size | 22 MB |
| Last Update | 2025 September 2 |








Engineering Mathematics with this free, comprehensive mobile app!
Designed for engineering students, this app covers 80 essential topics in detail, spread across 5 chapters, making it your ultimate companion for learning, revising, and preparing for exams or interviews.
With clear explanations, diagrams, equations, and formulas, this app offers an in-depth understanding of key mathematical concepts. Whether you're studying for exams or need a quick reference during assignments, this app will help you quickly master critical topics.
Key Features:
Complete Coverage of 80 Topics: Detailed notes, explanations, and examples covering all essential Engineering Mathematics topics.
5 Well-Structured Chapters: Organized content for systematic learning.
Clear Diagrams & Formulas: Visual aids and essential mathematical formulas for easier understanding.
Optimized for Quick Learning: Ideal for exam revision, interviews, or as a quick reference guide.
Mobile-Friendly Interface: Designed for easy navigation and viewing, optimized for mobile devices.
Easy-to-Use Interface: A user-friendly experience that makes learning simple and effective.
Topics Covered:
Leibnitz Theorem
Problems on Leibnitz Theorem
Differential Calculus-I
Radius of Curvature
Radius of Curvature in Parametric Form
Problems on Radius of Curvature
Radius of Curvature in Polar Form
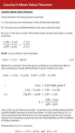
Cauchy’s Mean Value Theorem
Taylor’s Theorem
Problems on Fundamental Theorem
Partial Derivatives
Euler-Lagrange Equation
Curve Tracing
Change of Variable Theorem
Problems on Differential Calculus I
Indeterminate Forms
Problems on L'Hospital's Rule
Various Indeterminate Forms
Problems on Various Indeterminate Forms
Taylor’s Theorem for Functions of Two Variables
Problems on Taylor's Theorem
Maxima and Minima of Functions of Two Variables
Problems on Maxima and Minima of Functions of Two Variables
Lagrange’s Method of Undetermined Multipliers
Problems on Lagrange’s Method
Polar Curves
Problems on Polar Curves
Jacobian of Transformation
Extrema of Functions of Several Variables
Problems on Differential Calculus II
Multiple Integrals
Problems on Multiple Integrals
Double Integral by Changing the Order of Integration
Applications to Area and Volume
Problems on Applications to Area and Volume
Beta and Gamma Functions
Relationship Between Beta and Gamma Functions
Problems on Beta and Gamma Functions
Dirichlet Integral
Dirichlet Integral and Fourier Series
Problems on Dirichlet Integrals
Triple Integrals
Triple Integrals Using Cylindrical Coordinates
Problems on Integrals
Objective Questions on Integrals
Vector Functions
Vector Line Integral
Green's Theorem
Gauss Divergence Theorem
Stoke's Theorem
Surface and Volume Integrals
Problems on Integrals Theorem
Directional Derivative of Vector
Vector Gradient
Theorem of Line Integral
Orthogonal Curvilinear Coordinates
Differential Operators
Divergence of Vector
Curl of Vector
Problems on Vector Calculus
Introduction to Matrices
Properties of Matrices
Scalar Multiplication
Matrix Multiplication
Transpose of Matrix
Nonsingular Matrix
Echelon Form of Matrix
Determinants
Properties of Determinants
System of Linear Equations
Solution to a Linear System
Solution to Linear System by Inverse Method
Rank and Trace of Matrix
Cayley-Hamilton Theorem
Eigenvalues and Eigenvectors
Method of Finding Eigenvalues and Eigenvectors
Why You Need This App:
Comprehensive Coverage: Whether you're just starting or revising, this app covers everything you need for Engineering Mathematics.
Focus on Exam Topics: Key concepts and topics are covered in detail to help you prepare for exams with confidence.
Detailed Explanations: In-depth notes and problem-solving examples make complex topics easier to understand.
Perfect for Quick Reference: Need to brush up on a concept? This app gives you fast access to all topics, making it perfect for quick reference and revisions.
Study Anywhere: Optimized for mobile use, so you can study on the go, anytime, anywhere.









